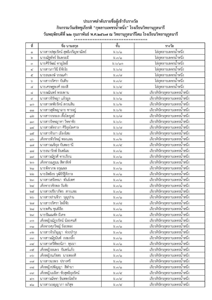
ประกาศลำดับรายชื่อผู้เข้ารับรางวัลกิจกรรมวันเชิดชูเกียรติ “กุหลาบเพชรน้ำหนึ่ง” โรงเรียนวิทยานุกูลนารีวันพฤหัสบดีที่ ๒๒ กุมภาพันธ์ พ.ศ.๒๕๖๗ ณ วิทยานุกูลนารีโดม โรงเรียนวิทยานุกูลนารี




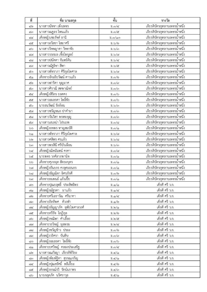
ประกาศลำดับรายชื่อผู้เข้ารับรางวัลกิจกรรมวันเชิดชูเกียรติ “กุหลาบเพชรน้ำหนึ่ง” โรงเรียนวิทยานุกูลนารีวันพฤหัสบดีที่ ๒๒ กุมภาพันธ์ พ.ศ.๒๕๖๗ ณ วิทยานุกูลนารีโดม โรงเรียนวิทยานุกูลนารี



